
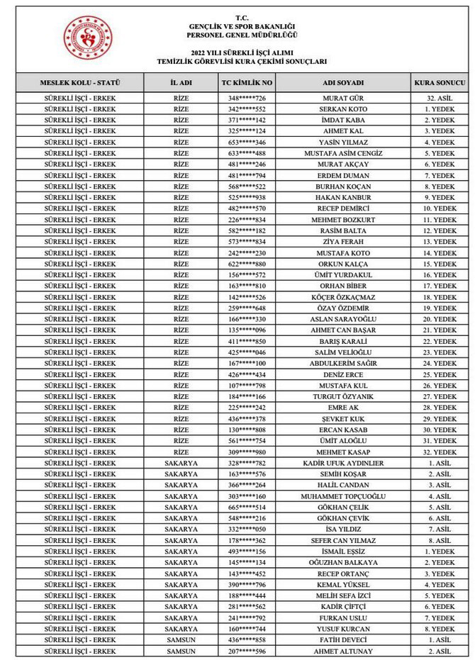
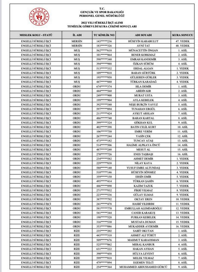
Gençlik ve Spor Bakanlığı işçi alımına ait kura sonuçlarını açıkladı. İşte Rize kura sonuçları
4857 sayılı İş Kanunu, Kamu Kurum ve Kuruluşlarına İşçi Alınmasında Uygulanacak Usul ve Esaslar Hakkında Yönetmelik ve Kamu Kurum ve Kuruluşlarına Eski Hükümlü veya Terörle Mücadelede Malul Sayılmayacak Şekilde Yaralananların İşçi Olarak Alınmasında Uygulanacak Usul ve Esaslar Hakkında Yönetmelik hükümleri çerçevesinde Bakanlığımız taşra teşkilatında temizlik görevlisi meslek kolunda 767 sürekli işçi, 144 engelli sürekli işçi ve 106 eski hükümlü sürekli işçi olmak üzere toplam 1017 sürekli işçi kadrolarına Kamu Kurum ve Kuruluşlarına İşçi Alınmasında Uygulanacak Usul ve Esaslar Hakkında Yönetmeliğin 12’nci maddesi gereği Türkiye İş Kurumu tarafından gönderilen nihai listelerde yer alan adaylar için 31 Ağustos 2022 tarihinde noter huzurunda kura çekimi gerçekleştirilmiştir.
Kamu Kurum ve Kuruluşlarına İşçi Alınmasında Uygulanacak Usul ve Esaslar Hakkında Yönetmeliğin 12’nci maddesi gereği sözlü sınava alınacak adayların listesi, alınacak sürekli işçi kadrosunun dört katı asıl ve dört katı yedek olmak üzere kura sonucu belirlenmiştir. Ancak Uşak İl’inde Eski Hükümlü Sürekli İşçi pozisyonu için başvuran sayısı ilana çıkılan kadro sayısının dört katını geçmediği için başvuranlar doğrudan belge teslim etmeye hak kazanmıştır.
Kamu Kurum ve Kuruluşlarına İşçi Alınmasında Uygulanacak Usul ve Esaslar Hakkında Yönetmeliğin İşe Göndermede Öncelikli Olanlar başlıklı 5’inci maddesi kapsamında Türkiye İş Kurumu (İŞKUR) tarafından öncelik hakkı olduğu bildirilen adaylardan açık iş sayısının dört katından fazla başvuru olan Temizlik Görevlisi – Erkek - Erzurum, Kahramanmaraş, Kütahya, Muş ve Van illerinde öncelikliler arasında kura çekimi gerçekleştirilmiş olup asil ve yedek olarak belirlenen adaylar Temizlik Görevlisi (Sürekli İşçi - Erkek) kura çekimi sonuçları listesinde yer almaktadır. Ayrıca bu kapsamda öncelik hakkı olduğu bildirilen ve diğer meslek kolu - cinsiyet - iller için başvuru yapan adaylar (öncelikli aday sayısı açık iş sayısının dört katını geçmediği için) doğrudan belge teslim etmeye hak kazanmıştır.
Kura çekimi sonucu asıl olarak belirlenen adaylar, başvuran sayısı açık iş sayısının dört katını geçmediği için kura çekimi yapılmadan doğrudan belge teslim etmeye hak kazananlar ile öncelik hakkı bulunan ve doğrudan belge teslim etmeye hak kazanan adaylar 12 - 14 Eylül 2022 tarihleri arasında mesai saatleri içerisinde başvuru yapmış oldukları Gençlik ve Spor İl Müdürlüklerine belgelerini teslim edeceklerdir.
Temizlik görevlisi meslek kolu için teslim edilmesi gereken belgeler;
a) En az Ortaöğretim (lise ve dengi) öğrenim düzeyine sahip olduğunu gösterir diploma veya e-Devlet üzerinden alınmış doğrulama kodu bulunan mezuniyet belgesi,
b) Beyan formu (Gençlik ve Spor İl Müdürlüklerince belge teslimi esnasında temin edilecektir.)
Kura çekimi sonucu asıl olarak belirlenen adaylar ile öncelik hakkı bulunan ve doğrudan belge teslim etmeye hak kazanan adaylardan belgeleri geçerli olmayan veya süresi içerisinde belge teslimi yapmayan adayların yerine yedek listede yer alan adaylardan sırasıyla 15 – 16 Eylül 2022 tarihleri arasında mesai saatleri içerisinde ilgili Gençlik ve Spor İl Müdürlükleri tarafından belge teslimi çağrısı yapılacaktır. Belirlenen süre içerisinde talep edilen belgeleri doğru ve eksiksiz teslim etmeyen adaylar sözlü sınava katılma haklarını kaybetmiş sayılacaktır.
Gençlik ve Spor İl Müdürlüğü tarafından teslim alınan belgeler incelendikten sonra belirlenen şartları taşıdığı tespit edilen ve sözlü sınava katılmaya hak kazanan adayların sözlü sınav tarihleri Bakanlığımız (www.gsb.gov.tr) internet sitesinde daha sonra ilan edilecektir. Sürekli işçi alımına ilişkin her aşamada Bakanlığımız internet sitesinde yapılacak duyurular tebliğ niteliğinde olup adaylara ayrıca yazılı tebligat yapılmayacaktır.
İlgililere ilanen duyurulur.
Ek-1: Engelli Sürekli İşçi listelerini görmek için tıklayınız.
Ek-2: Eski Hükümlü Sürekli İşçi listelerini görmek için tıklayınız.
Ek-3: Sürekli İşçi - Kadın listelerini görmek için tıklayınız.
Ek-4: Sürekli İşçi - Erkek listelerini görmek için tıklayınız.
Ek-5: Öncelikli listelerini görmek için tıklayınız.










































Yorum Yazın